I’ve spent years diving into skincare science, and one ingredient keeps showing up everywhere: peptides.
At first, I was simply curious about why dermatologists kept recommending them. The more I researched, the more fascinating they became. These tiny molecules play an important role in how our skin repairs itself and maintains firmness.
In this guide, I’ll explain what peptides are, how they work in the body, and why skincare products rely on them to improve skin health.
What are Peptides?
Peptides are short chains of amino acids, which are the building blocks that form proteins in the body.
When amino acids join together, they connect through peptide bonds, creating small chains that can perform specific biological functions.
These chains are much smaller than proteins. Most peptides contain between 2 and 50 amino acids, while proteins contain hundreds or even thousands.
This smaller size makes peptides especially useful in skincare because they can penetrate the skin more easily and signal skin cells to perform certain tasks.
In simple terms, peptides act like messengers that tell your skin how to behave.
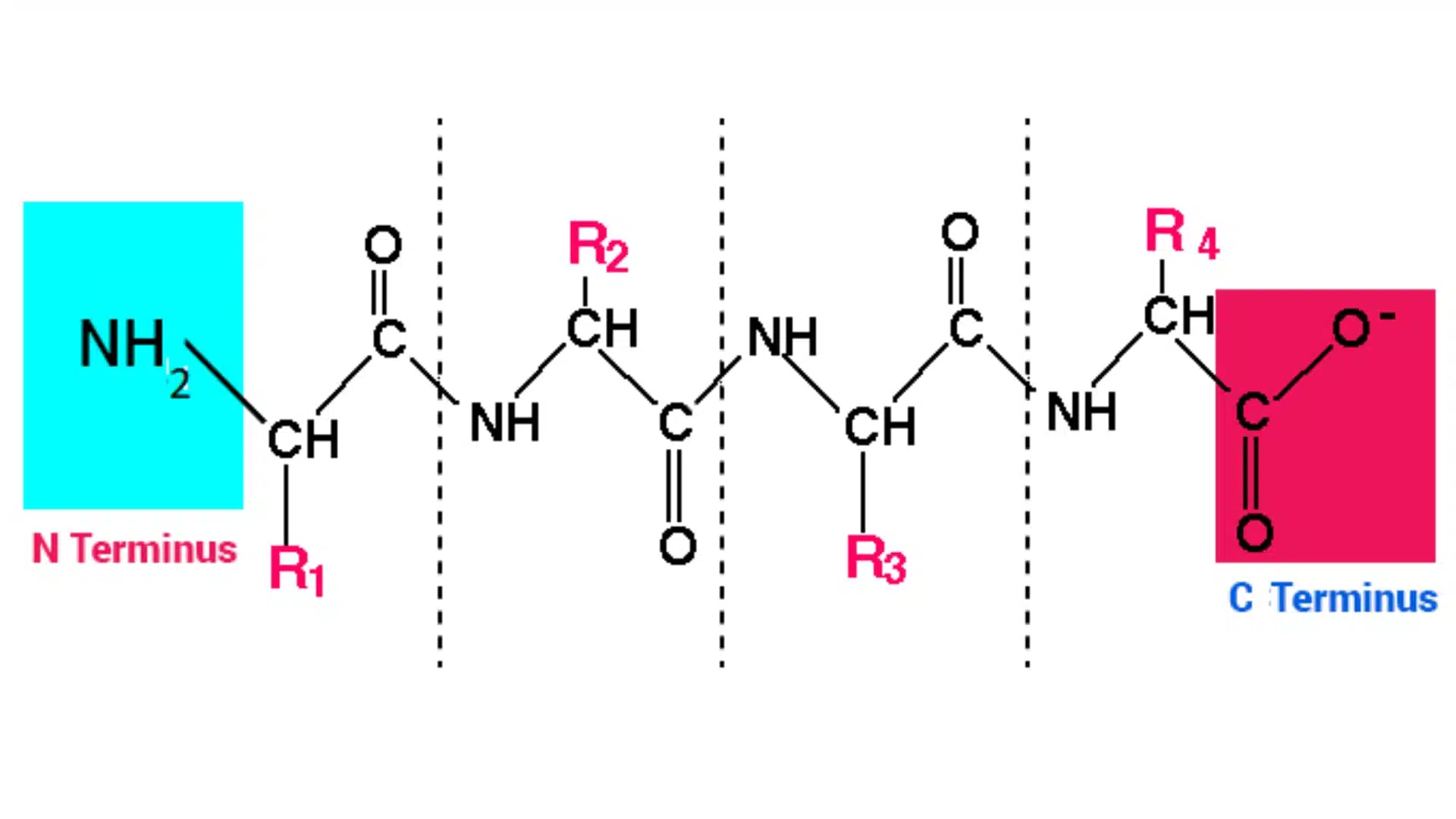
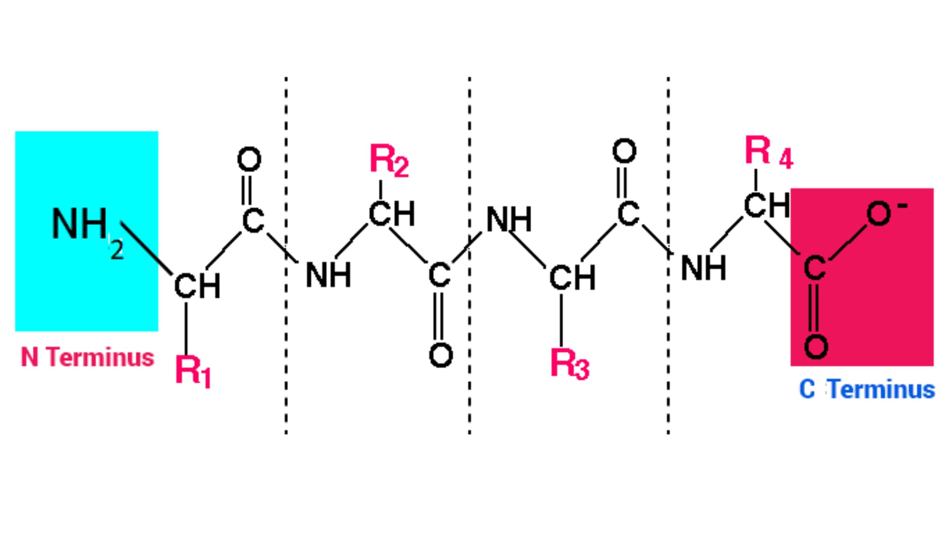
The Chemical Structure of Peptides

Peptides are formed when amino acids link together through chemical bonds called peptide bonds.
A peptide bond forms when the amino group (–NH₂) of one amino acid reacts with the carboxyl group (–COOH) of another amino acid. During this reaction, a molecule of water (H₂O) is released, creating a strong covalent bond between the two amino acids.
This process is called a condensation reaction or dehydration synthesis.
Once amino acids are connected by peptide bonds, they form a chain-like structure known as a peptide chain.
Peptide chains vary in length depending on how many amino acids are connected:
- Dipeptides: chains containing two amino acids
- Tripeptides: chains containing three amino acids
- Oligopeptides: short chains containing roughly 4–20 amino acids
- Polypeptides: longer chains that may contain dozens of amino acids and can fold into proteins
Because peptides are smaller than full proteins, they can often interact with cells more easily and participate in biological signaling. This smaller size is also why peptides are widely used in skincare products, as some peptides can penetrate the upper layers of the skin and signal cells to perform specific functions
How Peptides Work in the Body
Peptides act as small signaling molecules that help cells communicate and coordinate important biological functions throughout the body.
1. Cell Communication
Peptides serve as chemical messengers that allow cells to communicate with each other and coordinate essential body functions.
When certain conditions occur, such as injury or growth, peptides carry signals between cells that trigger specific responses. These signals may instruct cells to repair damaged tissue, produce new proteins, or regulate metabolism.
Because peptides travel through tissues and interact with cell receptors, they help maintain balance and ensure that different biological processes work together efficiently.
2. Immune Response
Some peptides play a critical role in supporting the immune system and protecting the body from harmful microorganisms. These molecules help immune cells recognize bacteria, viruses, and other foreign invaders.
Once detected, peptides trigger immune reactions that allow white blood cells to respond quickly and eliminate potential threats. Certain antimicrobial peptides even attack microbes directly by damaging their outer membranes.
Through these actions, peptides strengthen the body’s natural defense system and help maintain overall health.
3. Collagen and Elastin Production
Peptides help regulate the production of important structural proteins such as collagen and elastin. These proteins give skin its strength, firmness, and elasticity. Certain peptides act as signals that encourage skin cells called fibroblasts to increase collagen production.
When collagen levels remain strong, the skin stays smooth and resilient. Elastin allows skin to stretch and return to its original shape.
4. Skin Barrier Support
Peptides help maintain a strong skin barrier, which protects the body from environmental damage and prevents excessive water loss. The skin barrier acts as a protective shield against pollutants, bacteria, and harsh environmental conditions.
Peptides can help reinforce this barrier by supporting the production of proteins that maintain skin structure. A stronger barrier keeps irritants out and essential moisture in, helping skin remain healthy, balanced, and more resistant to dryness or irritation.
5. Moisture Retention
Peptides also help improve the skin’s ability to retain moisture, which is essential for maintaining softness and flexibility. When peptides strengthen the skin barrier and support healthy skin cells, they indirectly improve the skin’s water-holding capacity.
Hydrated skin appears smoother, plumper, and more vibrant. Proper moisture retention also helps prevent dryness, flaking, and irritation. By supporting hydration at the cellular level, peptides contribute to maintaining comfortable, healthy-looking skin throughout daily environmental exposure.
Why Peptides are Used in Skincare
In skincare products, peptides act as signaling ingredients that help guide skin cells to perform important functions.
Because they work with the skin’s natural biological processes, they are widely used in modern skincare formulas.
- anti-aging serums
- moisturizers
- eye creams
- repair treatments
Their ability to support collagen production and skin repair makes them one of the most valuable ingredients in modern skincare formulas.
Types of Peptides in Skincare Products
Skincare products contain various types of peptides, and each has its own specific role. Here’s a quick table to help you understand the different peptide types and choose the right products for your skin:
| Peptide Type | How It Works | Key Benefits | Common Example |
|---|---|---|---|
| Signal Peptides | Send wake-up signals to skin cells to produce more collagen and elastin | Reduces wrinkles and sagging; stimulates skin to work harder and look firmer | Palmitoyl pentapeptide in anti-aging creams |
| Carrier Peptides | Transport minerals like copper and zinc deep into the skin | Heals wounds, reduces inflammation, boosts collagen, and gives a healthy glow | Copper peptides |
| Enzyme-Inhibitor Peptides | Block harmful enzymes that break down collagen and elastin | Prevents firmness loss, maintains smoothness, and slows the aging process | Soybean peptides |
| Neuropeptides | Calm nerves that cause facial muscles to contract | Softens existing wrinkles, prevents new lines, works like a gentle Botox alternative | Argireline for forehead lines and crow’s feet |
Each peptide type targets specific skin concerns, so knowing these differences helps you pick products that match your skincare goals. Look for these peptides on product labels to get the benefits you’re after.
Label Reading Tip
On ingredient labels, peptides are typically listed with words like “peptide,” “palmitoyl,” “tripeptide,” “hexapeptide,” or “oligopeptide” in their name.
If a peptide appears near the bottom of the ingredient list, its concentration may be too low to deliver meaningful results.
Key Benefits of Peptides for Skin Health

Peptides support multiple skin functions, helping improve firmness, hydration, repair, and overall skin structure by signaling cells to produce important proteins.
1. Anti-Aging Support
Peptides are widely known for their ability to reduce visible signs of aging, such as fine lines and wrinkles. As the skin responds to these signals, it produces more supportive proteins that improve smoothness and elasticity.
Over time, this process can make the skin appear firmer and more youthful while helping slow the formation of new wrinkles caused by aging and environmental exposure.
2. Boost Collagen Production
Collagen is one of the most important proteins responsible for keeping skin firm and strong. As people age, natural collagen production gradually decreases, leading to sagging and loss of elasticity.
Peptides help stimulate skin cells called fibroblasts to produce more collagen. When collagen levels increase, the skin becomes stronger and more resilient. This support helps improve skin firmness, reduce visible lines, and maintain a more structured and healthy skin appearance.
3. Improved Hydration
A strong skin barrier prevents water from escaping while protecting the skin from environmental stress.
When peptides support this barrier, the skin becomes better at holding hydration throughout the day. Well-hydrated skin looks smoother, softer, and healthier. Proper moisture balance also improves elasticity and reduces dryness, flaking, and irritation that can occur when skin lacks sufficient hydration.
4. Faster Skin Repair
When the skin experiences damage from sunlight, irritation, or breakouts, peptides signal cells to accelerate tissue rebuilding and reduce inflammation.
These signals encourage skin cells to rebuild tissue and restore healthy structure. As a result, redness and inflammation may gradually decrease while damaged areas recover more efficiently. By supporting natural healing mechanisms, peptides help the skin maintain a smoother surface and improve overall skin texture over time.
5. Research-Backed Results
Scientific research has shown that peptides can significantly improve skin appearance when used consistently in skincare products. Several clinical studies demonstrate that specific peptides stimulate collagen production and reduce wrinkle depth over time.
Research published in the International Journal of Cosmetic Science reported visible improvements in skin firmness and texture after regular use of peptide-based formulations. These findings provide strong scientific support for the growing use of peptides in modern skincare treatments.
A 2023 review published in PMC (NCBI) further confirmed that signal peptides stimulate fibroblast activity and can measurably reduce wrinkle depth with consistent use over 4–12 weeks.
Are Peptides Safe for Skin?
Peptides are generally considered one of the safest skincare ingredients. They work naturally with the body’s biological processes and rarely cause irritation.
That said, not all peptide products are formulated equally. Effectiveness depends heavily on the type of peptide used, its concentration, and whether the formula allows it to remain stable and penetrate the skin.
Many products include peptides as a marketing addition rather than in clinically active concentrations. Look for brands that publish clinical data or are developed with dermatologists.
Most people can use peptide products daily without experiencing side effects. However, it is still recommended to perform a patch test before trying a new skincare product.
Unlike ingredients such as retinol or strong acids, peptides do not increase sensitivity to sunlight, making them suitable for both morning and nighttime routines.
Recommendation of Top Peptide Products
Many skincare brands now include peptides in serums and moisturizers designed to support healthier skin. But finding the right peptide product can feel overwhelming with so many options available.
But if you’re ready to experience peptide benefits, here are some top-rated products worth trying:
| Product Name | Key Ingredients | Best For | Price Range |
|---|---|---|---|
| The Ordinary Buffet + Copper Peptides | Multiple peptides + copper peptides | Beginners | Budget |
| Olay Regenerist Micro-Sculpting Cream | Amino peptides + hyaluronic acid | Daily anti-aging care | Affordable |
| Peter Thomas Roth Peptide 21 Serum | 21 peptides and neuropeptides | Advanced anti-aging | Premium |
| CeraVe Skin Renewing Night Cream | Peptides + ceramides | Sensitive skin | Budget |
These peptide products offer proven results at various price points, making it easy to start your peptide skincare journey today.
How to Use Peptides in Your Skincare Routine
Apply peptide serums after cleansing and toning, before heavier moisturizers. This gives them direct skin contact and maximum absorption.
Peptides are suitable for both morning and evening routines and do not increase sun sensitivity. For best results, pair them with hyaluronic acid, which enhances hydration without interfering with peptide activity.
Avoid layering peptides directly with strong acids like AHAs or BHAs in the same step, as low pH environments can destabilize certain peptide formulations.
Wind Up
Peptides may be small molecules, but their impact on skin health can be significant. After researching their role in skincare, I’ve learned that understanding what peptides are helps explain why they are widely used in modern skincare products.
These amino acid chains support important skin functions, such as maintaining firmness, improving hydration, and promoting healthier skin renewal.
Because they work with the skin’s natural processes, peptides are considered one of the most gentle and effective ingredients in many skincare routines.
If you’re considering adding peptides to your routine, starting with a high-quality serum or moisturizer can be a great first step. Have you tried peptide skincare before? Share your experience in the comments.


















